Cambio - Excellence in Molecular Biology

Search
Oligo Synthesis

Oligo Synthesis : Click Chemistry

Prices quoted are for single packs only. For multiples of the same product please request a quote. Some of Glen's products are hazardous and may be subject to additional shipping charges. Full product information is available on Glen Research's website.


THPTA Ligand product image

THPTA Ligand

Tris(3-hydroxypropyltriazolylmethyl)amine - a water-soluble click ligand

Glen Research

Catalogue No.DescriptionPack SizePriceQty
  • Change to:
50-1004-90THPTA Ligand100umole £164.00 Quantity
Add
50-1004-92THPTA Ligand25umole £55.00 Quantity
Add

Conjugation using Click Chemistry

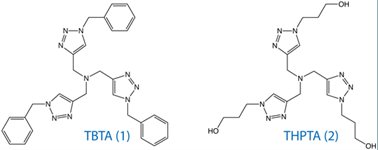
The copper(I)-catalyzed azide-alkyne cycloaddition (CuAAC) reaction between azides and alkynes to form 1,2,3-triazoles, as reported1 by Sharpless, was found to be so exquisitely regioselective and efficient at even the most mild conditions that Sharpless coined the term 'Click Chemistry' to describe it.  The use of this method for DNA modification has been somewhat delayed by the fact that copper ions damage DNA, typically yielding strand breaks.2 As these problems have now been overcome by the use of copper(I)-stabilizing ligands (e.g., tris(benzyltriazolylmethyl)amine, TBTA3), Carell et al. and Seela et al. discovered that the CuAAC reaction can be used to functionalize alkyne-modified DNA nucleobases with extremely high efficiency.4
Oligonucleotides bearing a single nucleosidic alkyne group can be prepared using  a C8-Alkyne-dC or dT-CE Phosphoramidite.  Purified oligonucleotides are usually modified with 2-5 equivalents of the corresponding marker-azide (e.g., fluorescent-dye azides). After the addition of precomplexed Cu(I), complete conversion to the labelled oligo is observed in a time span between 30 min and 4 hours. After a simple precipitation step, labelled oligonucleotides can be recovered in near quantitative yields. Using a combination of C8-Alkyne, C8-TIPS-Alkyne and C8-TMS-Alkyne, it is possible to label oligonucleotides in up to three separate click reactions. The alkyne groups on the last two monomers are protected, respectively, with triisopropylsilyl (TIPS) and trimethylsilyl (TMS) protecting groups.5,6  The first click reaction on solid phase on a C8-Alkyne yields the singly modified oligonucleotide with full retention of the TIPS and/or TMS protecting group.  For double click, a C8-TIPS-Alkyne is used as the second nucleoside and the TIPS protecting group is cleaved with tetrabutylammonium fluoride (TBAF) without causing any damage to the DNA.  The second click reaction in solution yields the doubly modified oligonucleotide in excellent yield. For the introduction of three different labels, all three nucleosides are introduced into oligonucleotides. The first click reaction is performed directly on the resin. The singly modified oligonucleotide is subsequently cleaved from the support with concomitant cleavage of the TMS group and retention of the TIPS protecting group. The second click reaction is performed in solution. Precipitation of the doubly modified oligonucleotide, cleavage of the TIPS group with TBAF, and a subsequent third click reaction in solution furnishes the desired triply modified oligonucleotide in excellent overall yield.
5-Ethynyl-dU offers convenient click conjugation with an azide to generate a label rigidly attached to one of the oligonucleotide bases.

 

FIGURE 1: Structures of TBTA and THPTA

Fig1

FIGURE 2: RP HPLC Analysis - 10 nmole Reaction with HEX Azide and THPTA, 60 Minutes

Fig1

FIGURE 3: RP HPLC Analysis - 100 nmole Reaction with FAM Azide, THPTA and TBTA, 15 Minutes

Fig2

FIGURE 4: RP HPLC Analysis - 1 µmole Aqueous Reaction with FAM Azide and THPTA, 30 Minutes

Fig4

 






If you cannot find the answer to your problem then please contact us or telephone +44 (0)1954 210 200

References:

1. V.V. Rostovtsev, Green, L.G., Fokin, V.V. and Sharpless, K.B., Angew Chem Int Ed, 2002, 41, 2596-2599.

2. C.W. Tornøe, C. Christensen, and M. Meldal, The Journal of Organic Chemistry, 2002, 67, 3057-3064.

3. T.R. Chan, R. Hilgraf, K.B. Sharpless, and V.V. Fokin, Org. Lett., 2004, 6, 2853-2855.

4. V. Hong, N.F. Steinmetz, M. Manchester, and M.G. Finn, Bioconjugate Chemistry, 2010, 21, 1912-1916.

5. P.M.E. Gramlich, S. Warncke, J. Gierlich, and T. Carell, Angewandte Chemie-International Edition, 2008, 47, 3442-3444.





If you cannot find the answer to your problem then please contact us or telephone +44 (0)1954 210 200





If you cannot find the answer to your problem then please contact us or telephone +44 (0)1954 210 200

Glen Report volume 26 number 1 May 2014





If you cannot find the answer to your problem then please contact us or telephone +44 (0)1954 210 200