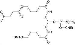
Description: Asymmetric Doubler (Lev) Phosphoramidite
1-[5-(4,4’-dimethoxytrityloxy)pentylamido]-3-[5-levulinyloxypentylamido]-propyl- 2-[(2-cyanoethyl)-(N,N-diisopropyl)]-phosphoramidite

Formula: C48H67N4O10P
M.W.: 891.04
F.W.: 352.32
Diluent: Anhydrous Acetonitrile
Coupling: 6 minute coupling time recommended.
Deprotection: Levulinyl Deprotection: The levulinyl protecting group can be selectively removed without cleavage of the oligonucleotide from the CPG by treatment with 0.5M Hydrazine hydrate in 1:1 pyridine/acetic acid. [Note hydrazine hydrate is a violent poison that is both volatile and readily absorbed through skin] Fit the column with syringes and push the solution back and forth across the column. Let sit for 15 minutes at room temperature. Rinse the column with 1.5 mL of 1:1 pyridine/acetic acid (3x) and then 1.5 mL of ACN (3x). Dry CPG under a stream of argon and proceed with the synthesis of the branching sequence. If a non-branching control is desired, simply deprotect in ammonium hydroxide as required by the nucleobases.
Storage: Freezer storage, -10 to -30°C, dry
Stability in Solution: 1-2 Days
Click here for more information on Olignucleiotide Dendrimers
If you cannot find the answer to your problem then please contact us or telephone +44 (0)1954 210 200