Cambio - Excellence in Molecular Biology

Search
Oligo Synthesis

Oligo Synthesis : CEPs

Prices quoted are for single packs only. For multiples of the same product please request a quote. Some of Glen's products are hazardous and may be subject to additional shipping charges. Full product information is available on Glen Research's website.

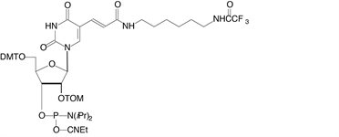
Amino-Modifier C6-U Phosphoramidite product image

Amino-Modifier C6-U Phosphoramidite

Amino-Modifier C6-U Phosphoramidite

Glen Research

Catalogue No.DescriptionPack SizePriceQty
  • Change to:
10-3039-02Amino-Modifier C6-U Phosphoramidite 0.25g £1,736.00 Quantity
Add
10-3039-90Amino-Modifier C6-U Phosphoramidite 100µmoles £864.00 Quantity
Add
10-3039-95Amino-Modifier C6-U Phosphoramidite 50µmoles £445.00 Quantity
Add

Amino-Modifier C6-U Phosphoramidite
 

Catalog Number: 10-3039-xx

Description: Amino-Modifier C6-U Phosphoramidite

5'-Dimethoxytrityl-5-[N-(trifluoroacetylaminohexyl)-3-acrylimido]-Uridine,
2'-O-triisopropylsilyloxymethyl-3'-[(2-cyanoethyl)-(N,N-diisopropyl)]-phosphoramidite
Formula: C60H84F3N6O12PSi M.W.: 1197.41 F.W.: 474.40

Diluent: Anhydrous Acetonitrile
Coupling: 12 minute coupling time recommended
Deprotection: See Technical Bulletin for details (www.glenresearch.com/Technical/TB_RNA_TBDMS_Deprotection.pdf). Technical Bulletin
Storage: Freezer storage, -10 to -30°C, dry
Stability in Solution: 24 hours

RNA SEQUENCE MODIFIER (TOM PROTECTED)

Amino-Modifier C6-U has been added to the growing family of sequence modifiers and we envisage applications in RNA structural studies as well as for labelling siRNA to probe uptake and cellular distribution.

If you cannot find the answer to your problem then please contact us or telephone +44 (0)1954 210 200

DILUTION/COUPLING DATA

The table below shows pack size data and, for solutions, dilutions and approximate couplings based on normal priming procedures. Please link for more detailed usage information with the various synthesizers.

ABI 392/394
Cat.No. Pack
Size
Grams/
Pack
0.1M Dil.
(mL)
LV40 LV200 40nm 0.2µm 1µm 10µm
Approximate Number of Additions
10-3039-02 0.25grams .25grams 2.09 56.33 33.8 21.13 15.36 11.27 2.82
10-3039-90 100µmoles .12grams 1 20 12 7.5 5.45 4 1
10-3039-95 50µmoles .06grams .5 3.33 2 1.25 .91 .67 .17
Expedite
Cat.No. Pack
Size
Grams/
Pack
Dilution
(mL)
Molarity 50nm 0.2µm 1µm 15µm
Approximate Number of Additions
10-3039-02 0.25grams .25grams 3.12 .07 N/A N/A 11.67 N/A
10-3039-90 100µmoles .12grams 1.5 .07 N/A N/A 4.92 N/A
10-3039-95 50µmoles .06grams .75 .07 N/A N/A 1.79 N/A
Beckman
Cat.No. Pack
Size
Grams/
Pack
Dilution
(mL)
Molarity 30nm 200nm 1000nm

Approximate Number of Additions
10-3039-02 0.25grams .25grams 3.12 .07 N/A 9.29 8.73

10-3039-90 100µmoles .12grams 1.5 .07 N/A 4.06 3.82

10-3039-95 50µmoles .06grams .75 .07 N/A 1.65 1.55

If you cannot find the answer to your problem then please contact us or telephone +44 (0)1954 210 200