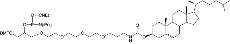
| Cholesteryl-TEG Phosphoramidite |

Diluent: 10% THF in Anhydrous Acetonitrile 40-4250-10- Please request with your order if required.
Catalog Number: 10-1975-xx
Description: Cholesteryl-TEG Phosphoramidite
1-Dimethoxytrityloxy-3-O-(N-cholesteryl-3-aminopropyl)-triethyleneglycol- glyceryl-2-O-(2-cyanoethyl)-(N,N,-diisopropyl)-phosphoramidite |
| Formula: C70H106N3O11P |
M.W.: 1196.60 |
F.W.: 755.97 |
Diluent: 10% THF in Anhydrous Acetonitrile 40-4250-10- Please request with your order if required. Add fresh diluent to product vial to recommended concentration and swirl vial occasionally over several minutes until product is completely dissolved. (Some oils may require between 5 and 10 minutes.) Use care to maintain anhydrous conditions. In case of transfer to alternate vial type, ensure recipient vial has been pre-dried. For more information, see http://www.glenres.com/Technical/TB_ABITransfer.pdf.
|
| Coupling: 15 minute coupling time. To maintain label yield, carry out the synthesis DMT-on. |
| Deprotection: No changes needed from standard method recommended by synthesizer manufacturer. To maintain label yield, remove the 5'-DMT after ammonium hydroxide deprotection. |
| Storage: Freezer storage, -10 to -30°C, dry |
| Stability in Solution: 2-3 days |
CHOLESTEROL LABELLING
Potential therapeutic oligonucleotides must permeate the cell membrane for optimal activity. The addition of lipophilic groups to an oligonucleotide would be expected to enhance activity. The use of cholesteryl oligos and the consequent improvement in activity has been described. We have designed our Cholesteryl Phosphoramidite with our branched triethyleneglycol (TEG) spacer for maximum solubility in acetonitrile as well as for applications requiring multiple labels.
If you cannot find the answer to your problem then please contact us or telephone +44 (0)1954 210 200