Cambio - Excellence in Molecular Biology

Search
Oligo Synthesis

Oligo Synthesis : CEPs

Prices quoted are for single packs only. For multiples of the same product please request a quote. Some of Glen's products are hazardous and may be subject to additional shipping charges. Full product information is available on Glen Research's website.

Dabcyl-dT product image

Dabcyl-dT

Dabcyl-dT

Glen Research

Catalogue No.DescriptionPack SizePriceQty
  • Change to:
10-1058-02Dabcyl-dT- 0.25g £614.00 Quantity
Add
10-1058-90Dabcyl-dT- 100µmoles £295.00 Quantity
Add
10-1058-95Dabcyl-dT- 50µmoles £164.00 Quantity
Add
40-4250-10Optional diluent 10% THF in Anhydrous Acetonitrile20ml £0.00 Quantity
Add

Dabcyl-dT
 

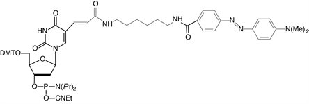
Catalog Number: 10-1058-xx

Description: Dabcyl-dT

5'-Dimethoxytrityloxy-5-[(N-4'-carboxy-4-(dimethylamino)-azobenzene)-aminohexyl-
3-acrylimido]-2'-deoxyUridine-3'-[(2-cyanoethyl)-(N,N-diisopropyl)]-phosphoramidite
Formula: C63H76N9O10P M.W.: 1150.32 F.W.: 709.7

Diluent: 10% THF in Anhydrous Acetonitrile  40-4250-10- Please request with your order if required.
Coupling: Dissolve this product in anhydrous acetonitrile:THF (9:1). A 6 minute coupling time is recommended.
Deprotection: No changes needed from standard method recommended by synthesizer manufacturer.
Storage: Refrigerated storage, maximum of 2-8°C, dry
Stability in Solution: 2-3 days

Dabcyl LABELLING

A molecular beacon probe1 has its natural fluorescence quenched in solution unless it is hybridized to the target sequence. Consequently, the design of a molecular beacon requires a fluorophore to be in one part of the sequence and the quencher molecule to be in another, with both molecules being separated from the oligonucleotide by a hydrocarbon spacer. The Dabcyl group has been found to be a universal quencher. 3’-Dabsyl CPG and 3’-Dabcyl CPG are used to prepare probes with the quencher blocking the 3’-terminus. 5’-Dabcyl Phosphoramidite locates the quencher at the 5’-terminus and Dabcyl-dT places it within the sequence, leaving the 3’-terminus available for polymerase extension.

If you cannot find the answer to your problem then please contact us or telephone +44 (0)1954 210 200

EXTINCTION DATA

Item Nucleoside λMax-1 Emax-1 λMax-2 Emax-2 E260


(nm) (ml/µmole) nm (ml/µmole) (ml/µmole)
10-1058 Dabcyl-dT 476 nm 32.0 (L/mmole-cm)

29.1 (L/mmole-cm)

DILUTION/COUPLING DATA

The table below shows pack size data and, for solutions, dilutions and approximate couplings based on normal priming procedures. Please link for more detailed usage information with the various synthesizers.

ABI 392/394
Cat.No. Pack
Size
Grams/
Pack
0.1M Dil.
(mL)
LV40 LV200 40nm 0.2µm 1µm 10µm
Approximate Number of Additions
10-1058-02 0.25grams .25grams 2.17 59 35.4 22.13 16.09 11.8 2.95
10-1058-90 100µmoles .115grams 1 20 12 7.5 5.45 4 1
10-1058-95 50µmoles .058grams .5 3.33 2 1.25 .91 .67 .17
Expedite
Cat.No. Pack
Size
Grams/
Pack
Dilution
(mL)
Molarity 50nm 0.2µm 1µm 15µm
Approximate Number of Additions
10-1058-02 0.25grams .25grams 3.24 .07 58.4 36.5 26.55 3.65
10-1058-90 100µmoles .115grams 1.5 .07 23.6 14.75 10.73 1.48
10-1058-95 50µmoles .058grams .75 .07 8.6 5.38 3.91 .54
Beckman
Cat.No. Pack
Size
Grams/
Pack
Dilution
(mL)
Molarity 30nm 200nm 1000nm

Approximate Number of Additions
10-1058-02 0.25grams .25grams 3.24 .07 60 37.5 27.27

10-1058-90 100µmoles .115grams 1.5 .07 25.2 15.75 11.45

10-1058-95 50µmoles .058grams .75 .07 10.2 6.38 4.64

If you cannot find the answer to your problem then please contact us or telephone +44 (0)1954 210 200

If you cannot find the answer to your problem then please contact us or telephone +44 (0)1954 210 200