Cambio - Excellence in Molecular Biology

Oligo Synthesis

Oligo Synthesis : Supports, CPGs

Prices quoted are for single packs only. For multiples of the same product please request a quote. Some of Glen's products are hazardous and may be subject to additional shipping charges. Full product information is available on Glen Research's website.

dT-CPG 2000

dT-CPG 2000

Glen Research

Catalogue No.DescriptionPack SizePriceQty
20-2032-01dT-CPG 2000 0.1g £14.00 Quantity Add to Order
20-2032-02dT-CPG 2000 0.25g £27.00 Quantity Add to Order
20-2032-10dT-CPG 2000 1.0g £136.00 Quantity Add to Order
20-2132-42dT-CPG 2000 4x0.2µm £36.00 Quantity Add to Order
20-2232-42dT-CPG 2000 4x0.2µm £36.00 Quantity Add to Order

Description

dT-CPG 2000

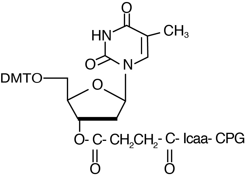
Structure

Catalog Number: 20-2032-xx

(20-2132-xx, 20-2232-xx)

Description: dT-CPG 2000

5'-Dimethoxytrityl-2'-deoxyThymidine, 3'-succinoyl-long chain alkylamino-CPG 2000 


F.W.: 304.20

Diluent: Not Applicable
Coupling: No changes needed from standard method recommended by synthesizer manufacturer.
Deprotection: Deprotect using the protocol required by the nucleobases.
Storage: Controlled room temperature or lower, dry

Stability in Solution: Not Applicable

STERLING SUPPORTS

All Glen Research CPG supports use the standard long chain alkylamino (lcaa) linker but differ in the glass pore size, 500Å, 1000Å or 2000Å. The 500Å support is appropriate for shorter sequences, while the 1000Å supports perform better in the synthesis of longer (>30-mer) DNA sequences. The 2000Å support is best for very long (>150-mer) oligonucleotides. We have instituted an additional QC test for supports to show the length of oligo that can be prepared before a drop-off in coupling due to steric effects begins to occur. The drop-off point is recorded in the Certificate of Analysis. All Glen Research supports are fully end-capped to ensure that the CPG surface is totally inert, thereby avoiding the introduction of impurity sequences containing deletions at the 3’-terminus.

If you cannot find the answer to your problem then please contact us or telephone +44 (0)1954 210 200

Protocols

Material Safety Data Sheet

If you cannot find the answer to your problem then please contact us or telephone +44 (0)1954 210 200

Notes

FREQUENTLY ASKED TECHNICAL QUESTION

QUESTION: How do the 1000Å and 2000Å supports compare in the synthesis of long oligos? Do you recommend any changes to the cycle for long oligos?

RESPONSE:In one comparison several years ago, a customer compared 1000Å, 2000Å and a low-loaded 500Å CPG for the synthesis of 200 and 400mers. Only in the case of the 2000Å CPG could the 200mer product be seen on a gel although the other supports did make product since it could be amplified by PCR. The 400mers could not be seen but could be amplified by PCR.

For the synthesis of long oligos, we recommend increasing the coupling wait step from 15 seconds to at least 30 seconds. I believe this is important later in the synthesis. Also, we recommend the use of DMAP in the Cap B solution or, if methylimidazole has to be used, increasing the capping wait step to 45 seconds. With incomplete capping, you are going to be making oligos contaminated with deletion mutations. I know DMAP has been accused of causing base modification of dG sites leading to fluorescent bands on gels but it is still the most effective capping activator. I also would recommend, if possible, an extended capping of the support (20 minutes) before the DMT is removed in the first cycle. The 1000Å and especially the 2000Å supports are very fragile and can be damaged in transit. This capping step deactivates any fresh surfaces caused by fractures. TWIST columns are assembled with 20µM frits to retain any fines coming from these friable supports.

REFERENCE(S):
J.S. Eadie and D.S. Davidson, Nucleic Acids Res., 1987, 15, 8333.



If you cannot find the answer to your problem then please contact us or telephone +44 (0)1954 210 200

Related products

If you cannot find the answer to your problem then please contact us or telephone +44 (0)1954 210 200