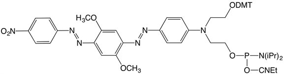
Black Hole Quencher-2 (BHQ-2) Phosphoramidite dye is a non-nucleoside
version that has O-4,4'-dimethoxytrityl “O-DMT”, which will allow the
incorporation of this modification internally or at the 3' end of the
oligonucleotide by using one of our universal supports without using the
3' CPG version. The structure of the BHQ-2 Phosphoramidite consists of a
polyaromatic-azo backbone (Ph-N=N-Ph). This allows it to absorb a broad
range of wavelengths in the visible spectrum, resulting in the
absorption of many colors.

Product Specifications
Details
Usage
- Coupling: No changes needed from standard method recommended by synthesizer
manufacturer
- Deprotection: Complete the deprotection using the protocol required by the nucleobases.
Note, the use of methylamine in ultrafast deprotection protocols will result in degradation to
the dye and is not recommended.
| Specifications |
| Diluent |
Anhydrous Acetonitrile |
| Storage |
Freezer storage, -10 to -30°C, dry |
| Stability |
1-2 Days |
Dilution/Coupling Data
The table below show pack size data and, for solutions, dilution and approximate coupling based on normal priming procedures.
ABI 392/394
| Catalog # |
Pack Size |
Grams/Pack |
0.1M Dil. (mL) |
Approximate Number of Additions |
|
LV40 |
LV200 |
40nm |
0.2μm |
1μm |
10μm |
| 10-1962-95 |
50 µmol |
0.05 |
0.5 |
3.33 |
2 |
1.25 |
0.91 |
0.67 |
0.17 |
| 10-1962-90 |
100 µmol |
0.1 |
1 |
20 |
12 |
7.5 |
5.45 |
4 |
1 |
| 10-1962-02 |
0.25 g |
0.25 |
2.51 |
70.33 |
42.2 |
26.38 |
19.18 |
14.07 |
3.52 |
Expedite
| Catalog # |
Pack Size |
Grams/Pack |
Dilution (mL) |
Approximate Number of Additions |
|
Molarity |
50nm |
0.2μm |
1μm |
15μm |
| 10-1962-95E |
50 µmol |
0.05 |
0.75 |
0.07 |
8.6 |
5.38 |
3.91 |
0.54 |
| 10-1962-90E |
100 µmol |
0.1 |
1.5 |
0.07 |
23.6 |
14.75 |
10.73 |
1.48 |
| 10-1962-02E |
0.25 g |
0.25 |
3.74 |
0.07 |
68.4 |
42.75 |
31.09 |
4.28 |
If you cannot find the answer to your problem then please contact us or telephone +44 (0)1954 210 200