Cambio - Excellence in Molecular Biology

Search
Oligo Synthesis

Oligo Synthesis : Supports, CPGs

Prices quoted are for single packs only. For multiples of the same product please request a quote. Some of Glen's products are hazardous and may be subject to additional shipping charges. Full product information is available on Glen Research's website.

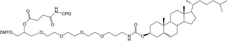
3'-Cholesteryl-TEG CPG product image

3'-Cholesteryl-TEG CPG

3'-Cholesteryl-TEG CPG

Glen Research

Catalogue No.DescriptionPack SizePriceQty
  • Change to:
20-2975-013'-Cholesteryl-TEG CPG 0.1g £77.00 Quantity
Add
20-2975-103'-Cholesteryl-TEG CPG 1.0g £523.00 Quantity
Add
20-2975-133'-Cholesteryl-TEG CPG 1x10µm £182.00 Quantity
Add
20-2975-143'-Cholesteryl-TEG CPG 1x15µm £255.00 Quantity
Add
20-2975-413'-Cholesteryl-TEG CPG 4x1.0µm £91.00 Quantity
Add
20-2975-423'-Cholesteryl-TEG CPG 4x0.2µm £55.00 Quantity
Add

3'-Cholesteryl-TEG CPG
 

Catalog Number: 20-2975-xx

Description: 3'-Cholesteryl-TEG CPG

1-Dimethoxytrityloxy-3-O-(N-cholesteryl-3-aminopropyl)-triethyleneglycol-
glyceryl-2-O-succinoyl-long chain alkylamino-CPG


F.W.: 755.97

Diluent: Not Applicable
Coupling: This support should be used in a manner identical to normal protected nucleoside support since it contains the DMT group.
Deprotection: Cleavage of the oligonucleotide from this support requires 2 hours at room temperature with ammonium hydroxide. Complete the deprotection using the protocol required by the nucleobases.
Storage: Freezer storage, -10 to -30°C, dry
Stability in Solution: Not Applicable

CHOLESTEROL LABELLING

Potential therapeutic oligonucleotides must permeate the cell membrane for optimal activity. The addition of lipophilic groups to an oligonucleotide would be expected to enhance activity. The use of cholesteryl oligos and the consequent improvement in activity has been described. We have designed our Cholesteryl Phosphoramidite with our branched triethyleneglycol (TEG) spacer for maximum solubility in acetonitrile as well as for applications requiring multiple labels.

 

ABI-style vials and columns are supplied unless otherwise requested (see note box).

If you cannot find the answer to your problem then please contact us or telephone +44 (0)1954 210 200

If you cannot find the answer to your problem then please contact us or telephone +44 (0)1954 210 200