5-Me-U-CE Phosphoramidite |

Catalog Number: 10-3050-xx
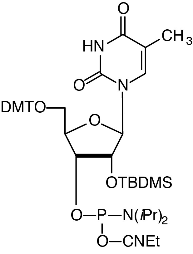
Description: 5-Me-U-CE Phosphoramidite
5'-Dimethoxytrityl-5-Methyl-Uridine, 2'-O-TBDMS-3'-[(2-cyanoethyl)- (N,N-diisopropyl)]-phosphoramidite |
Formula: C46H63N4O9PSi |
M.W.: 875.08 |
F.W.: 320.19 |
minor rna phosphoramidites (TBDMS PROTECTED)
Inosine and 5-Methyl-Uridine are useful for analyzing RNA structure and activity relationships. 5-Bromo-Uridine and 5-Iodo-Uridine have been used for crystallography studies and cross-linking experiments. 6-Thioguanosine (6-thio-G) has applications in ribozyme and siRNA research, as well as in RNA-protein interactions. The removal of the silyl protecting group without interfering with the sulfur is critical. This is removed1 cleanly by triethylamine trihydrofluoride in DMSO but t-butylammonium fluoride (TBAF) leads to degradation of the thio-nucleotide analogue and should not be used. 2-Aminopurine riboside is useful for analyzing RNA structure and activity relationships, for example, in ribozyme studies.
If you cannot find the answer to your problem then please contact us or telephone +44 (0)1954 210 200