Cambio - Excellence in Molecular Biology

Search
Oligo Synthesis

Oligo Synthesis : Supports, CPGs

Prices quoted are for single packs only. For multiples of the same product please request a quote. Some of Glen's products are hazardous and may be subject to additional shipping charges. Full product information is available on Glen Research's website.

dU-CPG 500 product image

dU-CPG 500

dU-CPG 500

Glen Research

Catalogue No.DescriptionPack SizePriceQty
  • Change to:
20-2050-01dU-CPG 500 0.1g £36.00 Quantity
Add
20-2150-41dU-CPG 500 4x1.0µm £109.00 Quantity
Add
20-2150-42dU-CPG 500 4x0.2µm £65.00 Quantity
Add

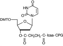
dU-CPG 500
 

Catalog Number: 20-2050-xx

(20-2150-xx)

Description: dU-CPG 500

5'-Dimethoxytrityl-2'-deoxyUridine,3'-succinoyl-long chain alkylamino-CPG 500
    F.W.: 290.17

Diluent: Not Applicable
Coupling: This support should be used in a manner identical to normal protected nucleoside support since it contains the DMT group.
Deprotection: Deprotect using the protocol required by the nucleobases.
Storage: Controlled room temperature or lower, dry
Stability in Solution: Not Applicable

DUPLEX EFFECTS

The design of primers is frequently complicated by the degeneracy of the genetic code. Three strategies are now available to confront this problem. In the first, a mixed base addition (N) is used to form the degenerate site. This approach is best if the number of degenerate sites is small. A second option is the use of 2’-deoxyInosine or 2’-deoxyNebularine which exhibit low, but unequal, hydrogen bonding to the other four bases. The third option is the use of a universal nucleoside. In this strategy, the base analog does not hybridize significantly to the other four bases and makes up some of the duplex destabilization by acting as an intercalating agent. 3-Nitropyrrole 2’-deoxynucleoside (M) is the first example of a set of universal bases. Subsequently, 5-nitroindole was determined to be an effective universal base and to be superior to 3-nitropyrrole, based on duplex melting experiments.

The modified bases designated P and K show considerable promise as degenerate bases. The pyrimidine derivative P, when introduced into oligonucleotides, base pairs with either A or G, while the purine derivative K base pairs with either C or T. A dP dK mix also can serve as a mixed base with much less degeneracy than dA dC dG dT (N).

If you cannot find the answer to your problem then please contact us or telephone +44 (0)1954 210 200

Material Safety Data Sheet

If you cannot find the answer to your problem then please contact us or telephone +44 (0)1954 210 200

The design of primers is frequently complicated by the degeneracy of the genetic code.  Three strategies are now available to confront this problem. 

  1. A mixed base addition (N) is used to form the degenerate site.  This approach is best if the number of degenerate sites is small.
  2. The use of 2'-deoxyInosine or 2'-deoxyNebularine which exhibit low, but unequal, hydrogen bonding to the other 4 bases.
  3. The use of a universal nucleotide.  In this strategy, the base analog does not hybridise significantly to the other 4 bases and makes up some of the duplex destabilisation by acting as an intercalating agent.

If you cannot find the answer to your problem then please contact us or telephone +44 (0)1954 210 200