Cambio - Excellence in Molecular Biology

Search
Oligo Synthesis

Oligo Synthesis : CEPs

Prices quoted are for single packs only. For multiples of the same product please request a quote. Some of Glen's products are hazardous and may be subject to additional shipping charges. Full product information is available on Glen Research's website.

EDTA-C2-dT-CE Phosphoramidite product image

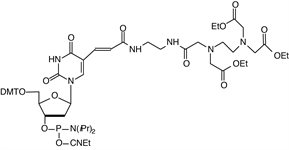
EDTA-C2-dT-CE Phosphoramidite

EDTA-C2-dT-CE Phosphoramidite

Glen Research

Catalogue No.DescriptionPack SizePriceQty
  • Change to:
10-1059-02EDTA-C2-dT-CE Phosphoramidite 0.25g £886.00 Quantity
Add
10-1059-90EDTA-C2-dT-CE Phosphoramidite 100µmoles £450.00 Quantity
Add
10-1059-95EDTA-C2-dT-CE Phosphoramidite 50µmoles £227.00 Quantity
Add

EDTA-C2-dT-CE Phosphoramidite
 

Catalog Number: 10-1059-xx

Description: EDTA-C2-dT-CE Phosphoramidite

5'-Dimethoxytrityl-5-[N-ethylenediaminetriethylacetate,monoacetylaminoethyl-
3-acrylimido]-2'-deoxyUridine,3'-[(2-cyanoethyl)-(N,N-diisopropyl)]-
phosphoramidite
Formula: C60H81N8O16P M.W.: 1201.32 F.W.: 676.53

Diluent: Anhydrous Acetonitrile
Coupling: 6 minute coupling time recommended.
Deprotection: 0.4M methanolic sodium hydroxide (methanol:water 4:1) at room temperature for 17 hours.Note: NaOH is not compatible with dmf protecting groups.
Storage: Refrigerated storage, maximum of 2-8°C, dry

Stability in Solution: 2-3 days

EDTA LABELLING

EDTA-C2-dT phosphoramidite contains the triethyl ester of EDTA which allows sequence-specific cleavage of single- and double-stranded DNA and RNA. The cleavage reaction is only initiated once Fe(II) and dithiothreitol are added and so is readily controlled. Coupling of EDTA-dT is normal but cleavage and deprotection should be carried out with sodium hydroxide in aqueous methanol (0.4M NaOH in methanol/water 4:1) overnight at room temperature.

If you cannot find the answer to your problem then please contact us or telephone +44 (0)1954 210 200

Material Safety Data Sheet

Glen Report 11.2: MORE NOVEL MONOMERS


If you cannot find the answer to your problem then please contact us or telephone +44 (0)1954 210 200

DILUTION/COUPLING DATA

The table below shows pack size data and, for solutions, dilutions and approximate couplings based on normal priming procedures. Please link for more detailed usage information with the various synthesizers.

ABI 392/394
Cat.No. Pack
Size
Grams/
Pack
0.1M Dil.
(mL)
LV40 LV200 40nm 0.2µm 1µm 10µm
Approximate Number of Additions
10-1059-02 0.25grams .25grams 2.08 56 33.6 21 15.27 11.2 2.8
10-1059-90 100µmoles .12grams 1 20 12 7.5 5.45 4 1
10-1059-95 50µmoles .06grams .5 3.33 2 1.25 .91 .67 .17
Expedite
Cat.No. Pack
Size
Grams/
Pack
Dilution
(mL)
Molarity 50nm 0.2µm 1µm 15µm
Approximate Number of Additions
10-1059-02 0.25grams .25grams 3.11 .07 55.8 34.88 25.36 3.49
10-1059-90 100µmoles .12grams 1.5 .07 23.6 14.75 10.73 1.48
10-1059-95 50µmoles .06grams .75 .07 8.6 5.38 3.91 .54
Beckman
Cat.No. Pack
Size
Grams/
Pack
Dilution
(mL)
Molarity 30nm 200nm 1000nm

Approximate Number of Additions
10-1059-02 0.25grams .25grams 3.11 .07 57.4 35.88 26.09

10-1059-90 100µmoles .12grams 1.5 .07 25.2 15.75 11.45

10-1059-95 50µmoles .06grams .75 .07 10.2 6.38 4.64

If you cannot find the answer to your problem then please contact us or telephone +44 (0)1954 210 200

If you cannot find the answer to your problem then please contact us or telephone +44 (0)1954 210 200