Catalog Number: 10-1576-xx
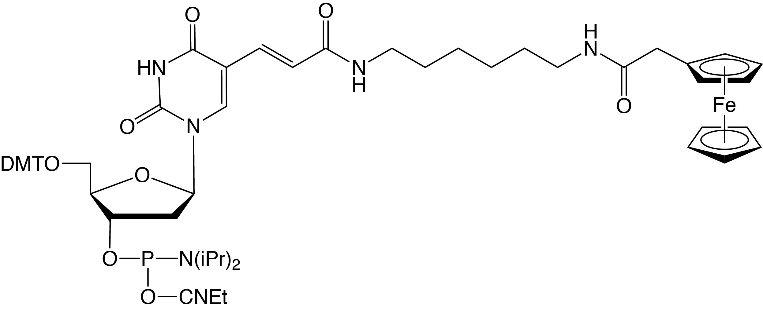
Description: Ferrocene-dT-CE Phosphoramidite

5'-dimethoxytrityloxy-5-[N-acetyl ferrocenyl-aminohexyl)-3-acrylimido]- 2'-deoxyUridine-3'-[(2-cyanoethyl)-(N,N-diisopropyl)]-phosphoramidite |
| Formula: C60H73FeN6O10P |
M.W.: 1125.07 |
F.W.: 684.45 |
Diluent: Anhydrous Acetonitrile |
| Coupling: 3 minute coupling time recommended |
| Deprotection: Synthesize using acetyl-protected dC (10-1015-xx) and deprotect in 30% Ammonium Hydroxide/40% Methylamine 1:1 (AMA) at 65°C for 10 minutes OR Synthesize using UltraMild monomers and Cap A (Catalog Numbers: dA: 10-1601-xx, dC: 10-1015-xx, dG: 10-1621-xx, dT: 10-1030-xx, Cap Mix A (40-4210-xx/ 40-4212-xx) and deprotect in Ammonium Hydroxide for 2 hours at room temperature. |
| Storage: Freezer storage, -10 to -30°C, dry |
| Stability in Solution: 1-2 days |
FERROCENE LABELLING
With an excellent stability profile, ferrocene has always attracted considerable interest for DNA labelling to generate probes for electrochemical detection. Based on our Amino-Modifier C6-dT structure, Ferrocene-dT is easily added to oligonucleotides with no disruption of regular hybridization behavior. Multiple incorporations into an oligonucleotide probe are also simply achieved. Oligonucleotides are deprotected using standard techniques. Ferrocene oligonucleotides should be stored under Argon and aqueous solutions should be degassed immediately.
If you cannot find the answer to your problem then please contact us or telephone +44 (0)1954 210 200