- High sensitivity to detect low copy RNA and DNA targets in single- and multiplex reactions
- Single tube, room temperature-stable formulation streamlines automated workflows
- Glycerol-free components for flexible lyophilisation options
- 5X concentration allows increased sample addition in liquid reactions or smaller lyobead formation during manufacturing
- General purpose reagent manufactured in an ISO 13485-certified facility
RapiDxFire™ Lyo-Flex 1-Step RT-qPCR 5X Master Mix is a convenient,
single-tube master mix that provides sensitive and reproducible
detection of bacterial and viral pathogens. Optimised for multiplexing
with gene-specific primers and BHQ probes, this temperature-stable,
glycerol-free, mix is ideal for molecular diagnostic kit manufacturers
developing traditional tests for high-throughput, automated workstreams
or lyophilised tests for POC devices.
Provided at a 5X concentration without passive reference dye, this
robust master mix includes a heat-activated thermostable reverse
transcriptase, Taq DNA polymerase, and dNTPs (including dUTP) in a
single, Triton-free, glycerol-free buffered solution. Compatible with
added Uracil N-Glycolsylase (UNG) to control carryover contamination
and/or an RNase inhibitor for template preservation, RapiDxFire Lyo-Flex
1-Step RT-qPCR 5X Master Mix is a versatile component for diagnostic
test development. RapiDxFire Lyo-Flex 1-Step RT-qPCR 5X Master Mix is
manufactured in an ISO 13485-certified facility and is available in
suitable test development sizes to large scale production lots.
RapiDxFire Lyo-Flex 1-Step RT-qPCR 5X Master Mix is a General Purpose
Reagent (GPR), labelled For Laboratory Use (FLU). The FLU label
statement identifies an in vitro diagnostic medical device in the United
States. Outside the United States the FLU statement is equivalent to
Research Use Only.
Sensitive detection of RNA and DNA targets

Figure 1. Broad dynamic range for both RNA and DNA targets. (a) SARS-CoV-2 RNA control (Twist) 10-fold serially diluted from 1x106-1x100 copies per reaction, on which the UltraDx SARS-CoV-2 N1/N2/RnP assay (Biosearch Technologies) was performed (N1/N2:FAM shown) (20 µL total reaction volume). (b) genomic mouse DNA 10-fold serially diluted from 300,000 to 3 copies per reaction on which the Isg20 assay was performed (N1/N2:FAM shown) (20 µL total reaction volume). PCR efficiencies (90%-110%) and R2 values >0.98 for (a) SARS-CoV-2 RNA and (b) genomic mouse DNA assays met PCR criteria.
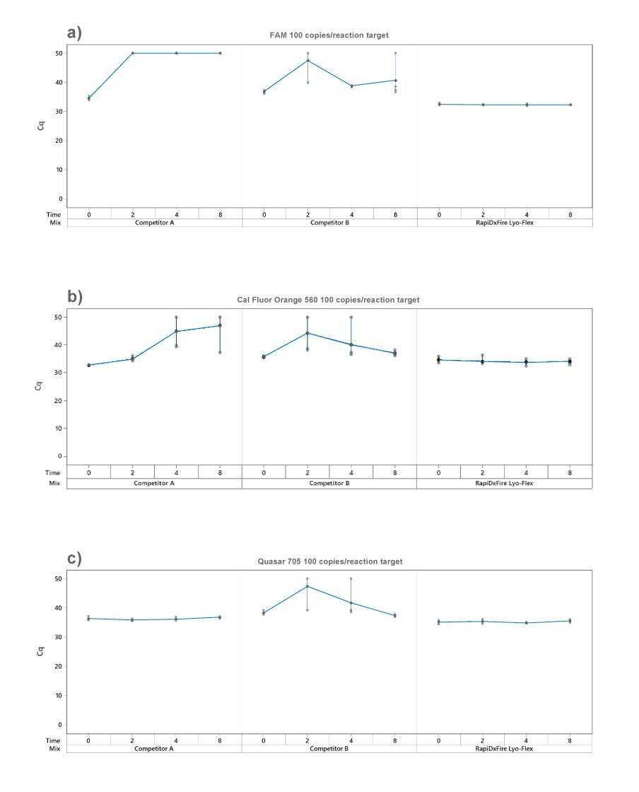
Enhanced reaction stability at room temperature

Figure 2. Fully assembled reaction mix at room temperature gives stable and sensitive Cq values for all targets for up to 8 hours. Genomic MS2 RNA (100 copies per reaction, 20 µL total reaction volume) tested in triplex with each MS2-region specific BHQ™ Probe assigned a unique fluorophore ((a) R6D1:FAM; (b) R3D3:CAL Fluor Orange 560 (c) R8D1:Quasar 705). RapiDxFire Lyo-Flex 1-Step RT-qPCR 5X Master Mix was tested against Competitor A and Competitor B, according to manufacturer’s recommendations. The lower the Cq value, the more sensitive the detection. A Cq value ≥50 is indicative of no amplification.
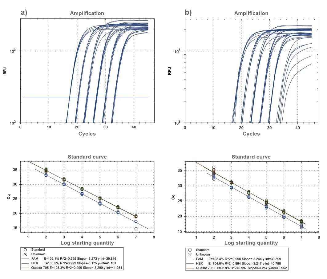
Lyo-compatible formulation

Figure 3. Consistent performance of RapiDxFire Lyo-Flex 1-Step RT-qPCR 5X Master Mix post-lyophilisation by Vendor A, supplemented with 4 mM MgCl2. Lyophilised spheres were tested against genomic MS2 RNA 10-fold serially diluted from 1x107-1x102 copies per reaction (20 µL total reaction volume), with each MS2-region specific BHQ Probe assigned a unique fluorophore (R6D1:FAM; R3D3:CAL Fluor Orange 560; R8D1:Quasar 705). (a) pre-lyophilisation and (b) post-lyophilisation amplification curves, tested with the R6D1:FAM assay, and standard curves for all targets, with PCR efficiencies (90%-110%) and R2 values >0.98, meeting PCR criteria.

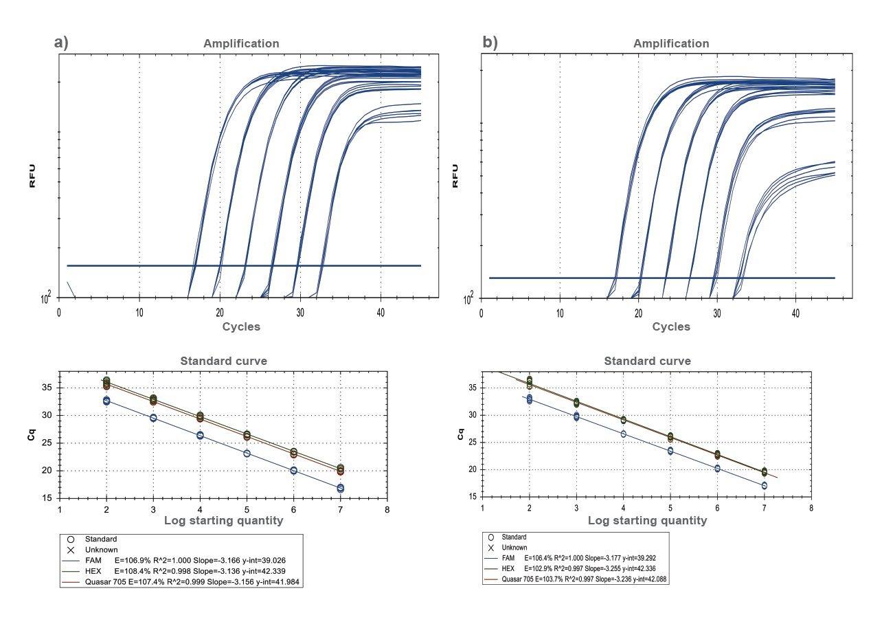
Figure 4. Lyobead stability demonstrated after 0 and 4 month storage at room temperature (25 °C).
Lyobeads (manufactured by Vendor B) were prepared with RapiDxFire
Lyo-Flex 1-Step RT-qPCR 5X Master Mix and tested against genomic MS2 RNA
10-fold serially diluted from 1x107-1x102 copies
per reaction (20 µL total reaction volume), with each MS2-region
specific BHQ Probe assigned a unique fluorophore (R6D1:FAM; R3D3:CAL
Fluor Orange 560; R8D1:Quasar 705). (a) 0 month and (b) 4-month time
point amplification curves, tested with the R6D1:FAM assay and standard
curves for all targets, with PCR efficiencies (90%-110%) and R2 values >0.98, meeting PCR criteria.
Limitations:
Results are a property of both the assay and template type/concentration
in the sample, as well as the formulation of the master mix itself. As
such, individual results may vary.
If you cannot find the answer to your problem then please contact us or telephone +44 (0)1954 210 200