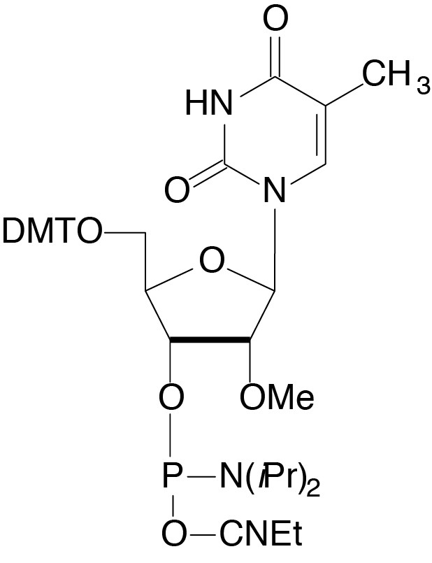
2'-OMe-5-Me-U-CE Phosphoramidite |

Catalog Number: 10-3131-xx
Description: 2'-OMe-5-Me-U-CE Phosphoramidite
5'-Dimethoxytrityl-5-methyl-Uridine,2'-O-methyl,3'-[(2-cyanoethyl)- (N,N-diisopropyl)]-phosphoramidite |
Formula: C41H51N4O9P |
M.W.: 774.84 |
F.W.: 334.22 |
Diluent: Acetonitrile:THF (1:1) |
Coupling: Dissolve in Acetonitrile:THF (1:1).A 6 minute coupling time is recommended. |
Deprotection: No changes needed from standard method recommended by synthesizer manufacturer. |
Storage: Freezer storage, -10 to -30°C, dry |
Stability in Solution: 3-5 days |
minor 2’-Ome-rna phosphoramidites
To aid in the evaluation of the structures of 2’-OMe-RNA complexes, we offer the CE phosphoramidites listed below. 2’-OMe-T is useful in triplex studies while the 2-aminopurine derivative may be tested in ribozyme studies. By supporting an additional hydrogen bond, 2,6-diaminopurine (2-amino-adenosine) binds more strongly with uridine than does adenosine. Oligonucleotides containing 2’-OMe-5-Me-C and 2’-OMe-I would be of interest to researchers involved in triplex and antisense studies using 2’-OMe-RNA. The uses of 2’-OMe-5-bromo-U phosphoramidite range from crystallographic studies due to the heavy atom to cross-linking because of its photolability. 5-Fluoro-pyrimidine nucleosides have been useful as therapeutic agents and their effect on the structure and activity of oligonucleotides may be examined using the 2’-OMe-RNA derivatives. The 2,4,6-trimethylphenyl (TMP) protected 2’-OMe-U derivative is a convertible nucleoside and reaction with ammonia leads to the 5-fluoro-dC analogue. 2’-OMe-3-deaza-5-aza-C (Reverse C) derivative has the potential to mimic in oligonucleotides 5-azacytidine, a DNA methylase inhibitor. Its ability to bind as a C will likely be diminished.
ABI-style vials are supplied unless otherwise requested (see note box).
If you cannot find the answer to your problem then please contact us or telephone +44 (0)1954 210 200