Cambio - Excellence in Molecular Biology

Oligo Synthesis

Oligo Synthesis : Supports, CPGs

Prices quoted are for single packs only. For multiples of the same product please request a quote. Some of Glen's products are hazardous and may be subject to additional shipping charges. Full product information is available on Glen Research's website.

3'-TAMRA CPG

3'-TAMRA CPG

Glen Research

Catalogue No.DescriptionPack SizePriceQty
  • Change to:
  • £
20-5910-013'-TAMRA CPG 0.1g €124.26 Quantity Add to Order
20-5910-103'-TAMRA CPG 1.0g €1,031.70 Quantity Add to Order
20-5910-413'-TAMRA CPG 4x1.0µm €207.48 Quantity Add to Order
20-5910-423'-TAMRA CPG 4x0.2µm €124.26 Quantity Add to Order

Description

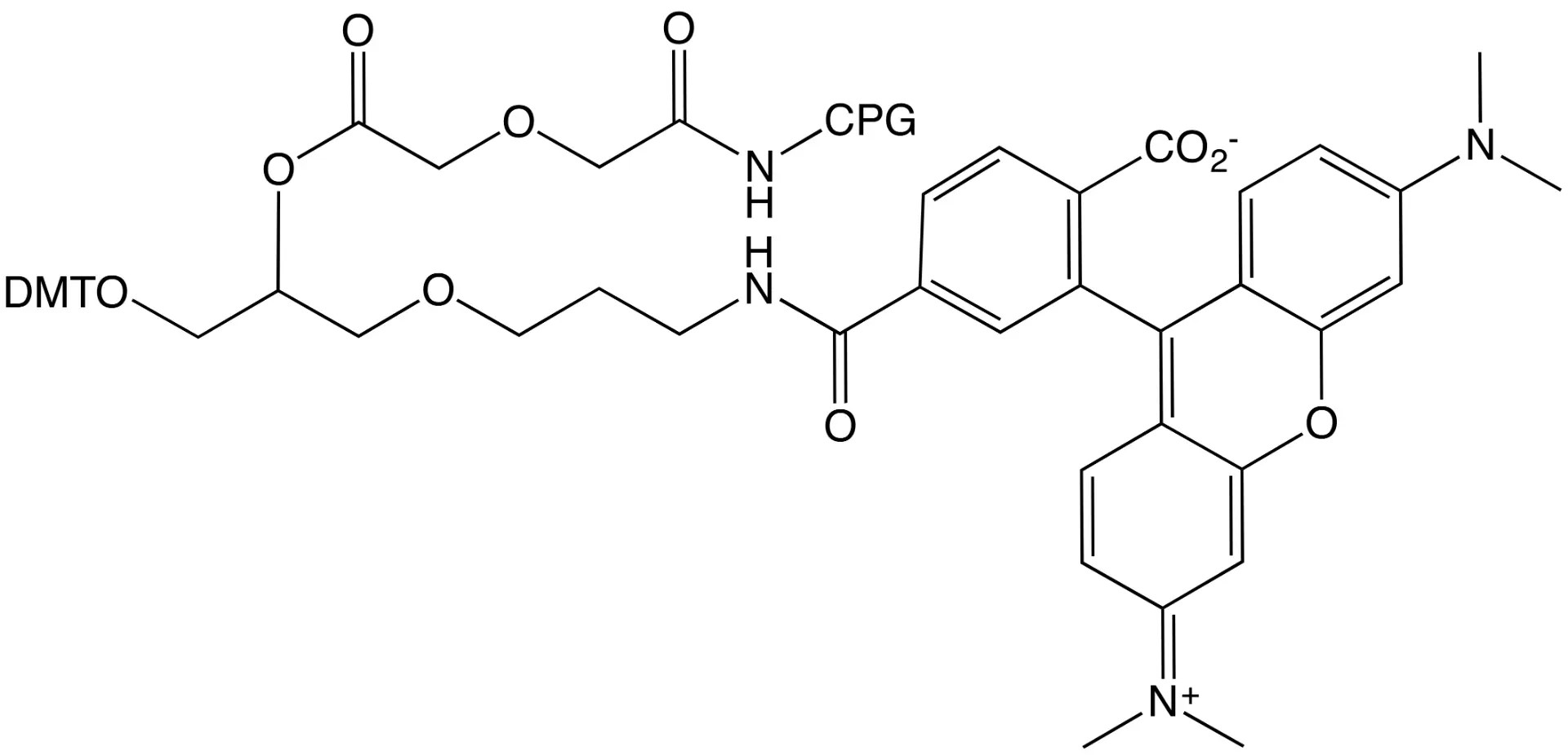
3'-TAMRA CPG
 

Catalog Number: 20-5910-xx

Description: 3'-TAMRA CPG

1-Dimethoxytrityloxy-3-[O-(N-carboxy-(Tetramethyl-rhodamine)-
3-aminopropyl)]-propyl-2-O-succinoyl-long chain alkylamino-CPG


F.W.: 623.60

Diluent: Not Applicable
Coupling: Monomers that allow for UltraMILD deprotection must be used. (dA: 10-1601-xx, dC: 10-1015-xx, dG: 10-1621-xx, dT: 10-1030-xx ). To avoid any exchange of the iPr-Pac group on the dG with acetyl, use the UltraMild Cap Mix A (40-4210-xx/ 40-4212-xx).
Deprotection: UltraMILD deprotection: 0.05M Potassium Carbonate in Methanol, 4 hours at Room Temperature.
Storage: Freezer storage, -10 to -30°C, dry. Light sensitive material.
Stability in Solution: Not Applicable

RHODAMINE LABELLING

Rhodamine derivatives are not sufficiently stable to survive conventional deprotection and these must be attached to amino-modified oligonucleotides using post-synthesis labelling techniques. Because Tetramethyl Rhodamine (TAMRA) is not base stable, the procedure to cleave and deprotect the labelled oligonucleotide must be carefully considered. Using the UltraMILD monomers and deprotection with potassium carbonate in methanol, TAMRA oligonucleotides can be fairly conveniently isolated. To streamline the preparation of TAMRA oligos, we offer 3’-TAMRA CPG for 3’ labelling and TAMRA-dT for labelling within the sequence. We also offer TAMRA NHS ester for labelling amino-modified oligonucleotides.

If you cannot find the answer to your problem then please contact us or telephone +44 (0)1954 210 200

Protocols

MSDS

Glen Report 10.1: NEW FLUORESCENT REAGENTS - TAMRA CPG, FLUORESCEIN-dT

Glen Report 12.1: POLY-PAK PURIFICATION OF LABELLED PROBES

If you cannot find the answer to your problem then please contact us or telephone +44 (0)1954 210 200

Notes

Frequently Asked Technical Question

QUESTION: What are the relative extinction coefficients of 5'-Fluorescein, Hex and Tet etc.. at 260 nm and their Lambda max?

RESPONSE:Please see http://www.glenresearch.com/Technical/Extinctions.html

REFERENCE(S):
Oligonucleotide Properties Calculator; http://www.basic.northwestern.edu/biotools/oligocalc.html


QUESTION: What are the relative extinction coefficients of various dyes?

RESPONSE:Please see http://www.glenres.com/Technical/Extinctions.html#dyes


QUESTION: Does AMA or methylamine cause any degradation to fluorescein or fluorescein-type dyes such as FAM or FITC?

RESPONSE:Response: While AMA (Ammonium hydroxide/40% Methylamine 1:1 v/v) is considered compatible with fluorescein, the use of methylamine when deprotecting a Fluorescein-labeled oligo does lead to a small amount of degradation, which is characterized by a the appearance of a late-eluting peak by RP HPLC that shows no visible fluorescein absorbance. With standard deprotection conditions (AMA 10 minutes at 65 C) the amount of degradation is approximately 5%. The impurity is not detected with AMA at RT for 2 hours.

If you cannot find the answer to your problem then please contact us or telephone +44 (0)1954 210 200

Related products

If you cannot find the answer to your problem then please contact us or telephone +44 (0)1954 210 200