Cambio - Excellence in Molecular Biology

Oligo Synthesis

Oligo Synthesis : CEPs

Prices quoted are for single packs only. For multiples of the same product please request a quote. Some of Glen's products are hazardous and may be subject to additional shipping charges. Full product information is available on Glen Research's website.

Amino-Modifier C2 dT

Amino-Modifier C2 dT

Glen Research

Catalogue No.DescriptionPack SizePriceQty
10-1037-02Amino-Modifier C2 dT 0.25g £382.00 Quantity Add to Order
10-1037-05Amino-Modifier C2 dT 0.5g £764.00 Quantity Add to Order
10-1037-90Amino-Modifier C2 dT 100µmoles £173.00 Quantity Add to Order

Description

Amino-Modifier C2 dT

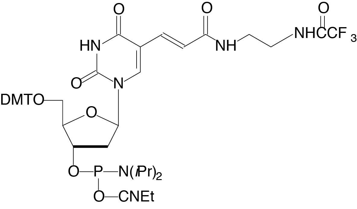
Structure

Catalog Number: 10-1037-xx

Description: Amino-Modifier C2 dT

5'-Dimethoxytrityl-5-[N-(trifluoroacetylaminoethyl)-3-acrylimido]-
2'-deoxyUridine,3'-[(2-cyanoethyl)-(N,N-diisopropyl)]-phosphoramidite
Formula: C46H54N6O10F3P M.W.: 938.94 F.W.: 402.30

Diluent: Anhydrous Acetonitrile
Coupling: Amino-Modifier C2 dT reacts in a manner identical to normal phosphoramidites. To prevent side reactions, synthesize using acetyl-protected dC. See Deprotection for further details.
Deprotection: No changes needed from standard method recommended by synthesizer manufacturer. The TFA protecting group is removed during standard ammonium hydroxide deprotection. A minor side reaction during ammonia deprotection can lead to irreversibly capping 2-5% of the amine. This could be significant if multiple additions of the modifier are made. To prevent the reaction, synthesize using acetyl-protected dC and deprotect in 30% ammonia/40% methylamine 1:1 (AMA) at 65°C for 15 minutes.
Storage: Refrigerated storage, maximum of 2-8°C, dry

Stability in Solution: 24 hours

SEQUENCE MODIFIERS

Sequence Modifiers are designed for use in automated synthesis. The carboxy-dT is hydrolyzed during deprotection and can be coupled directly to a molecule containing a primary amino group by a standard peptide coupling or via the intermediate N-hydroxysuccinimide (NHS) ester. Amino-Modifier dA, Amino-Modifier dC, Amino-Modifier dG and both Amino-Modifier dT products can be added in place of a dA, dC, dG and dT residue, respectively, during oligonucleotide synthesis. Corresponding Amino-Modifier supports can replace their respective deoxynucleoside supports. After deprotection, the primary amine on the C6 analogues is separated from the oligonucleotide by a spacer arm with a total of 7 -10 atoms and can be labelled or attached to an enzyme. The C2 analogue is more suitable for the attachment of molecules designed to react with the oligonucleotide.

If you cannot find the answer to your problem then please contact us or telephone +44 (0)1954 210 200

Protocols

MSDS

Glen Report 6.1: DEOXYURIDINE DERIVATIVES FOR INTERNAL MODIFICATION

If you cannot find the answer to your problem then please contact us or telephone +44 (0)1954 210 200

References

(1) J.L. Ruth, C. Morgan, and A. Pasko, DNA, 1985, 4, 93.
(2) J. Telser, K.A. Cruickshank, L.E. Morrison, and T.L. Netzel, J. Am. Chem. Soc., 1989, 111, 6966-6976.
(3) E. Jablonski, E.W. Moomaw, R.H. Tullis, and J.L. Ruth, Nucleic Acids Res., 1986, 14, 6115.
(4) J.G. Farmar and M. Castaneda, Biotechniques, 1991, 11, 588-589.

If you cannot find the answer to your problem then please contact us or telephone +44 (0)1954 210 200

Notes

Amino-Modifier C2 dT

5'-Dimethoxytrityl-5-[N-(trifluoroacetylaminoethyl)-3-acrylimido]-
2'-deoxyUridine,3'-[(2-cyanoethyl)-(N,N-diisopropyl)]-phosphoramidite
Formula: C46H54N6O10F3P M.W.: 938.94 F.W.: 402.30

Diluent: Anhydrous Acetonitrile
Coupling: Amino-Modifier C2 dT reacts in a manner identical to normal phosphoramidites. To prevent side reactions, synthesize using acetyl-protected dC. See Deprotection for futher details.
Deprotection: No changes needed from standard method recommended by synthesizer manufacturer. The TFA protecting group is removed during standard ammonium hydroxide deprotection. A minor side reaction during ammonia deprotection can lead to irreversibly capping 2-5% of the amine. This could be significant if multiple additions of the modifier are made. To prevent the reaction, synthesize using acetyl-protected dC and deprotect in 30% ammonia/40% methylamine 1:1 (AMA) at 65°C for 15 minutes.
Storage: Refrigerated storage, maximum of 2-8°C, dry
Stability in Solution: 24 hours
Does not affect hybridization
Material Safety Data Sheet  

Literature Highlights

Glen Report 6.1: DEOXYURIDINE DERIVATIVES FOR INTERNAL MODIFICATION

Frequently Asked Technical Question

QUESTION: What is the extinction coefficient of Amino-Modifier C6 dT and C2 dT?

RESPONSE:The extinction coefficient of DNA at 260nm is around 10,000/mole or 10/µmole. The extiction coefficient of Amino-Modifier C6 dT and C2 dT is around 8.7. The synthesis of these monomers does not pass through the deoxynucleoside and this figure is estimated by comparison to dT-CE Phosphoramidite.

 

Note: dA=15.4, dC=7.4, dG=11.5, T=8.7

 


DILUTION/COUPLING DATA

The table below shows pack size data and, for solutions, dilutions and approximate couplings based on normal priming procedures. Please link for more detailed usage information with the various synthesizers.

ABI 392/394
Cat.No. Pack
Size
Grams/
Pack
0.1M Dil.
(mL)
LV40 LV200 40nm 0.2µm 1µm 10µm
Approximate Number of Additions
10-1037-02 0.25grams .25grams 2.66 75.33 45.2 28.25 20.55 15.07 3.77
10-1037-05 0.5grams .5grams 5.33 164.33 98.6 61.63 44.82 32.87 8.22
10-1037-90 100µmoles .094grams 1 20 12 7.5 5.45 4 1
Expedite
Cat.No. Pack
Size
Grams/
Pack
Dilution
(mL)
Molarity 50nm 0.2µm 1µm 15µm  
Approximate Number of Additions
10-1037-02 0.25grams .25grams 3.97 .067 73 45.63 33.18 4.56  
10-1037-05 0.5grams .5grams 7.95 .067 152.6 95.38 69.36 9.54  
10-1037-90 100µmoles .094grams 1.5 .067 23.6 14.75 10.73 1.48  
Beckman
Cat.No. Pack
Size
Grams/
Pack
Dilution
(mL)
Molarity 30nm 200nm 1000nm    
Approximate Number of Additions
10-1037-02 0.25grams .25grams 3.97 .067 74.6 46.63 33.91    
10-1037-05 0.5grams .5grams 7.95 .067 154.2 96.38 70.09    
10-1037-90 100µmoles .094grams 1.5 .067 25.2 15.75 11.45

If you cannot find the answer to your problem then please contact us or telephone +44 (0)1954 210 200

Applications & Benefits

Frequently Asked Technical Question

QUESTION: What is the extinction coefficient of Amino-Modifier C6 dT and C2 dT?

RESPONSE:The extinction coefficient of DNA at 260nm is around 10,000/mole or 10/µmole. The extiction coefficient of Amino-Modifier C6 dT and C2 dT is around 8.7. The synthesis of these monomers does not pass through the deoxynucleoside and this figure is estimated by comparison to dT-CE Phosphoramidite.

Note: dA=15.4, dC=7.4, dG=11.5, T=8.7


DILUTION/COUPLING DATA

The table below shows pack size data and, for solutions, dilutions and approximate couplings based on normal priming procedures. Please link for more detailed usage information with the various synthesizers.

ABI 392/394
Cat.No. Pack
Size
Grams/
Pack
0.1M Dil.
(mL)
LV40 LV200 40nm 0.2µm 1µm 10µm
Approximate Number of Additions
10-1037-02 0.25grams .25grams 2.66 75.33 45.2 28.25 20.55 15.07 3.77
10-1037-05 0.5grams .5grams 5.33 164.33 98.6 61.63 44.82 32.87 8.22
10-1037-90 100µmoles .094grams 1 20 12 7.5 5.45 4 1
Expedite
Cat.No. Pack
Size
Grams/
Pack
Dilution
(mL)
Molarity 50nm 0.2µm 1µm 15µm
Approximate Number of Additions
10-1037-02 0.25grams .25grams 3.97 .07 73 45.63 33.18 4.56
10-1037-05 0.5grams .5grams 7.95 .07 152.6 95.38 69.36 9.54
10-1037-90 100µmoles .094grams 1.5 .07 23.6 14.75 10.73 1.48
Beckman
Cat.No. Pack
Size
Grams/
Pack
Dilution
(mL)
Molarity 30nm 200nm 1000nm

Approximate Number of Additions
10-1037-02 0.25grams .25grams 3.97 .07 74.6 46.63 33.91

10-1037-05 0.5grams .5grams 7.95 .07 154.2 96.38 70.09

10-1037-90 100µmoles .094grams 1.5 .07 25.2 15.75 11.45

If you cannot find the answer to your problem then please contact us or telephone +44 (0)1954 210 200

Related products

If you cannot find the answer to your problem then please contact us or telephone +44 (0)1954 210 200