
Catalog Number: 26-5910-xx
Description: 3'-TAMRA PS
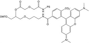
1-Dimethoxytrityloxy-3-[O-(N-carboxy-(Tetramethyl-rhodamine)- 3-aminopropyl)]-propyl-2-O-succinoyl-polystyrene |
|
|
F.W.: 623.60 |
Diluent: Anhydrous Acetonitrile |
| Coupling: Monomers that allow for UltraMILD deprotection must be used. (dA: 10-1601-xx, dC: 10-1015-xx, dG: 10-1621-xx, dT: 10-1030-xx ). To avoid any exchange of the iPr-Pac group on the dG with acetyl, use the UltraMild Cap Mix A (40-4210-xx/ 40-4212-xx). |
| Deprotection: UltraMILD deprotection: 0.05M Potassium Carbonate in Methanol, 4 hours at Room Temperature. See technical bulletin for details (www.glenresearch.com/Technical/TB_UltraMild_Deprotection.pdf). Note, a side reaction can occur that leads to a loss of the TAMRA label. Treatment of the support prior to cleavage/deprotection with a hindered base, such as 10% diethylamine in ACN, for 3-5 minutes will minimize the loss of label. |
| Storage: Freezer storage, -10 to -30°C, dry. Light sensitive material. |
| Stability in Solution: 2-3 days |
AB 3900 Polystyrene Modifier Columns
Some of our more popular minor base and modifier supports are available on polystyrene in columns fully compatible with the Applied Biosystems 3900 synthesizer. These include our popular Universal Support III, which will allow DNA, RNA or LNA oligos to be produced on the 3900 with ANY base at the 3’ terminus. At the same time, we are offering 1 µmole columns of Universal Support III for the 3900 instrument. Structures and more complete descriptions are found in the relevant catalog sections for each item. AB 3900 columns can be prepared with virtually any of the CPG supports in this catalog. However, it is usually necessary to adjust the flow using CPG columns since CPG has different flow characteristics from polystyrene.
If you cannot find the answer to your problem then please contact us or telephone +44 (0)1954 210 200