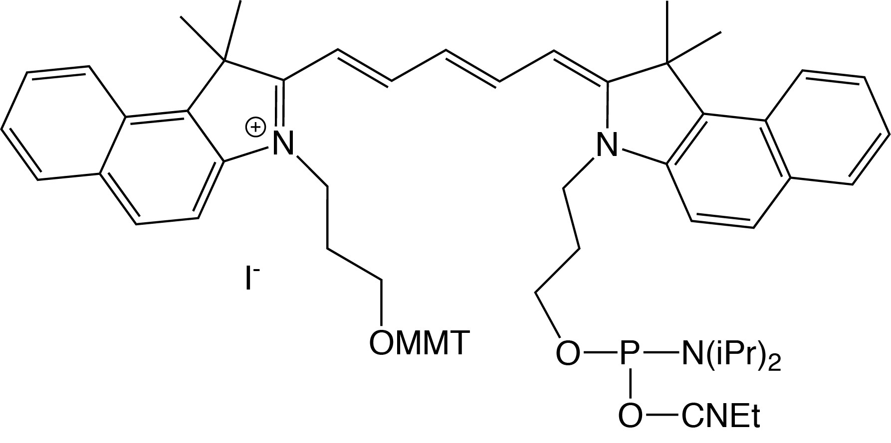
| Cyanine 5.5™ Phosphoramidite |

Catalog Number: 10-5916-xx
Description: Cyanine 5.5™ Phosphoramidite
1-[3-(4-monomethoxytrityloxy)propyl]-1'-[3-[(2-cyanoethyl)- (N,N-diisopropyl)phosphoramidityl]propyl]-3,3,3',3'-tetramethyl- 4,5-benzindodicarbocyanine iodide |
| Formula: [C68H76N4O4P] I- |
M.W.: 1171.25 |
F.W.: 633.74 |
Diluent: Anhydrous Acetonitrile |
| Coupling: 3 minute coupling time recommended. Monomers and Cap A Mix that allow for UltraMILD deprotection are preferred. (Catalog Numbers: dA: 10-1601-xx, dC: 10-1015-xx, dG: 10-1621-xx, dT: 10-1030-xx, Cap A: 40-4210-xx/40-4212-xx.) Use 0.02M iodine to avoid degradation of the cyanine dye. |
| Deprotection: If UltraMILD reagents were used, deprotect at room temperature in 0.05M Potassium Carbonate in Methanol for 4 hrs or Ammonium Hydroxide for 2 hrs. If standard bases were used, deprotection in Ammonium Hydroxide at room temperature for 24-36 hrs will give acceptable yields. However, the oligo will require a reverse phase purification, e.g., Poly Pak. Technical Bulletin |
| Storage: Freezer storage, -10 to -30°C, dry |
| Stability in Solution: 2-3 days |
| |
CYANINE LABELLING
Two cyanine derivatives, Cyanine 3 and Cyanine 5, which differ in
structure simply by the number of carbons in the conjugated poly-ene
linkage, are joined by the closely related analogues, Cyanine 3.5 and
Cyanine 5.5, and are available as phosphoramidites. Cyanine dyes are
normally added once at the 5’-terminus and the MMT group should be
removed on the synthesizer. The absorbance of the MMT cation (yellow)
is noticeably different from the DMT cation (orange), and so,
absorbance-based trityl monitors will detect it incorrectly as a low
coupling. On the other hand, conductivity detectors will interpret the
release more correctly. Cyanine dyes have also been used successfully
adjacent to the 3’-terminus as long as 0.02M iodine oxidizer is used
during the remainder of the synthesis.
Deprotection of oligos containing Cyanine dyes may be carried out
with ammonium hydroxide at room temperature, regardless of the base
protecting groups on the monomers used. If there is a need to use
ammonium hydroxide at elevated temperature, Cyanine 3 and Cyanine 3.5
are more stable than Cyanine 5 and Cyanine 5.5. However, it is always
prudent to use monomers with base labile protecting groups to limit the
exposure time to 2 hours or less at 55°C.
If you cannot find the answer to your problem then please contact us or telephone +44 (0)1954 210 200