dG-High Load CPG
dG-High Load CPG - (25-2020)
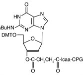
5'-Dimethoxytrityl-N-isobutyryl-2'-deoxyGuanosine, 3'-succinoyl-long chain alkylamino-CPG 500

Product Specifications
Our high loading support is based on controlled pore silica and it
retains the usual 500Å pores. The spacer is also conventional. The only
significant difference is the loading which is in the range 80 -
130µmoles/g or about 2.5 times the loading of normal 500Å CPG. Typical
loadings for our high load CPG are in the 100 - 120µmoles/g range. As a
consequence of the high loading, this support should not be used for
sequences longer than 40mers. This high loading support is available in
columns for most synthesizers. The 2.5µmole column is identical to our
standard 1µmole column (with the exception of the loading). It should be
used on occasions when greater than 1µmole is desired but when a 10 or
15µmole synthesis is too high. It should be run using the 1µmole cycle.
The 25µmole column is identical to the 10µmole column used on Applied
Biosystems synthesizers. It is run using the 10µmole cycle. The 35µmole
column is used as an alternative to the 15µmole Expedite column. Again
no changes to the standard cycle are recommended. The support is of
course available in bulk for use on large-scale synthesizers. A word of
caution is in order. When using a column with a higher load than
recommended by the instrument manufacturer, there is a much smaller
margin for error. All reagents must be fresh and anhydrous diluent and
activator must be used. Should you decide to prepare higher-loading
columns, ensure that the molar excess of monomer to support nucleoside
is at least 5X and preferably 10X.
Usage
- Coupling: This support should be used in a manner identical to normal protected nucleoside support since it contains the DMT group.
- Deprotection: Deprotect using the protocol required by the nucleobases.
| Specifications |
| Recommended Storage | Controlled room temperature or lower, dry |
If you cannot find the answer to your problem then please contact us or telephone +44 (0)1954 210 200